नक्सलियों से ‘लोहा लेने’ वाले 77 जवानों को मिला ‘प्रमोशन’, देखें, सूची
By : madhukar dubey, Last Updated : March 11, 2023 | 2:55 pm
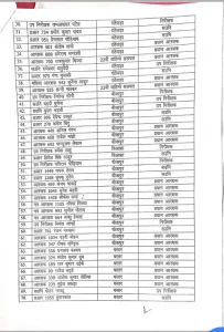
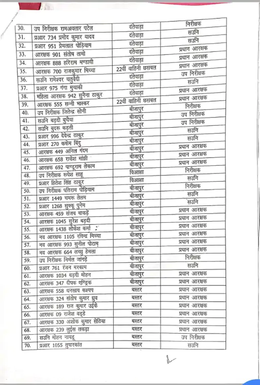
बस्तर। नक्सलियों से लोहा लेने वाले 77 जवानों को DJP अशोक जुनेजा ने प्रमोशन देकर होली की सौगात दी। प्रमोशन पाने वालों में सबसे ज्यादा बीजापुर के 21 जवान हैं। सुकमा, दंतेवाड़ा, नारायणपुर और बस्तर जिले में हुई अलग-अलग मुठभेड़ों में शामिल थे।
नक्सलियों की कमर तोड़ने में महत्वपूर्ण भूमिका निभाई थी। कई खूंखार हार्डकोर नक्सलियों को ढेर किया था। पदोन्नत होने वालों में DRG, CAF के जवान शामिल हैं। इसमें अधिकांश जवान धुर नक्सली इलाकों में तैनात हैं।


